Back

List

TEL

Home
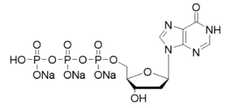
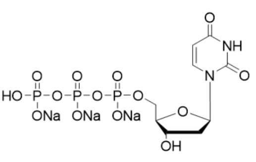
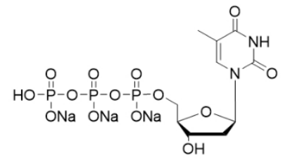
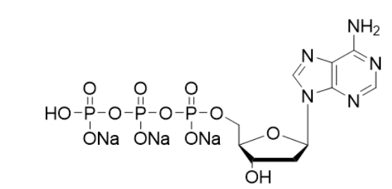
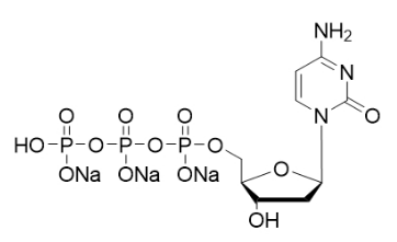
Deoxytriphosphate
6 Records
<-中文版->   <-English->