Back

List

TEL

Home
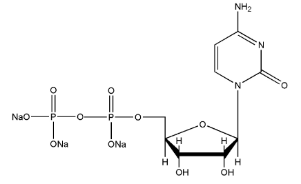
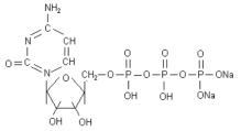
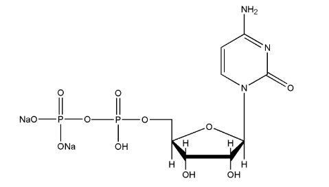
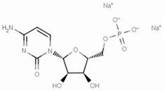
Cytidine series
6 Records
<-中文版->   <-English->