Back

List

TEL

Home
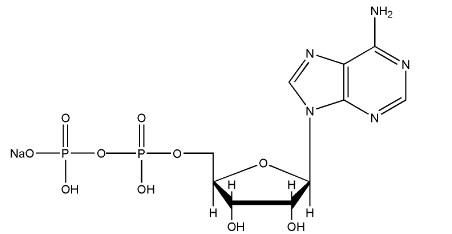
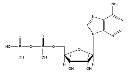
Adenosine series
7 Records
<-中文版->   <-English->