三磷酸胞苷二钠盐CTP-Na2
|
中文名称 |
三磷酸胞苷二钠盐 |
|
英文名称 |
|
|
CAS号 |
|
|
分子式 |
C9H14N3Na2O14P3 |
|
分子量 |
527.12 |
|
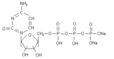
结构式 |
|
|
纯度 |
≥95% |
|
产品性状 |
本品为白色或类白色粉末;有引湿性;在水中易溶,在乙醇、氯仿或乙醚中极微溶解 |
|
产品用途 |
本品为核苷酸类产品,可作为生产核苷酸类药物的中间体及生化试剂。 |
|
级别或类别 |
医药中间体 |
|
包装规格 |
1KG/袋 5KG/袋 可按客户要求包装 |
|
贮藏及运输 |
密封零下18度保存,需要加冰袋运输 |
|
保质期 |
24个月 |



