返回

导航

电话

首页
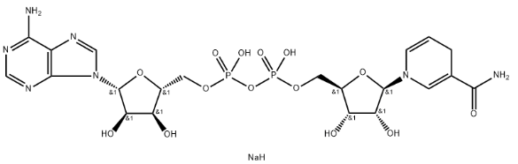
β-烟酰胺腺嘌呤二核苷酸二钠盐水合物(还原型)NADH

中文名 β-烟酰胺腺嘌呤二核苷酸二钠盐水合物(还原型)NADH
英文名 β-Nicotinamide adenine dinucleotide NADH(reduced form) NADH
CAS号 606-68-8
结构式
化学式  C21H26N7Na2O14P2· xH2O
分子量 709.4
产品性状 淡黄色粉末
纯度 ≥95%(HPLC)
用途 食品,保健品原料。