三磷酸尿苷三钠(UTP-Na3)
| 产品名称 | 三磷酸尿苷三钠(UTP-Na3) |
| 产品别名 | 尿苷-5'-三磷酸三钠 |
| 英文名称 | Uridine 5'-triphosphate trisodium salt |
| CAS号 | 19817-92-6;285978-18-9 |
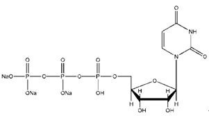
| 结构式 | ![]() |
| 纯度 | ≥98% |
| 产品性状 | 白色粉末 |
| 产品性质 | 本品为白色粉末,易溶于水,不溶于乙醇 |
| 级别或类别 | 医药中间体 |
| 质量标准 | 行业标准 |
| 包装规格 | 1KG/袋 5KG/袋 可按客户要求包装 |
| 贮藏 | 密封零下18度保存 |
| 运输 | 需要加冰袋运输 |
| 保质期 | 24个月 |
| 用途 | 1、尿苷三磷酸可用于防治肺炎,治疗窦炎、纤毛运动障碍、中耳炎及支气管炎等疾病。 2. 可作为生产核苷酸类药物的中间体及生化试剂 |
| 产品图片 | ![]() |





