三磷酸腺苷二钠 ATP-NA2
| 产品名称 | 三磷酸腺苷二钠 |
| 产品别名 | 腺苷-5'-三磷酸二钠盐;腺嘌呤核苷-5'-三磷酸酯二钠盐;腺三磷二钠盐 |
| 英文名称 | Adenosine 5'-triphosphate disodium salt |
| CAS号 | 987-65-5; 51963-61-2 |
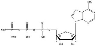
| 结构式 | ![]() |
| 纯度 | ≥98% |
| 产品性状 | 白色粉末 |
| 级别或类别 | 食品添加剂 |
| 质量标准 | 行业标准 |
| 包装规格 | 纸板桶,内袋 20kg/桶 |
| 贮藏 | 阴凉干燥处,密封保存 |
| 保质期 | 24个月 |
| 产品描述: | 1、可作为一种辅酶。有改善肌体代谢的作用,参与体内脂肪、蛋白质、糖、核酸及核苷酸的代谢。适用于细胞损伤后细胞酶减退引起的疾病。 临床用于因组织损伤、细胞酶活力下降所致的各种疾病。如心力衰竭,心肌炎、心肌梗塞、脑动脉硬化、冠状动脉硬化、进行性肌萎缩、脑出血后遗症、急慢性肝炎、肝硬化和听力障碍等。 2、本品亦用作能量补给剂,改善肝功能的治疗药物 3、本品为核苷酸类产品,可作为生产核苷酸类药物的中间体及生化试剂。可用于S-腺苷蛋氨酸、磷酸肌酸、辅酶I 、寡核苷酸等的合成。 |




