Citicoline, CDP choline (CDPC-H)
| English name | Citicoline, CDP choline (CDPC-H) |
| English aliases | Cytosine nucleoside diphosphate choline, cytidine diphosphate choline, nicole Lin |
| CAS No. | 987-78-0 |
| EINECS No. | 251-689-1 |
| Molecular formula | C14H26N4O11P2 |
| Molecular weight | 488.32 |
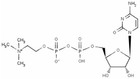
| Structural formula | ![]() |
| Physical properties | Appearance: White crystalline powder HPLC: ≥99% wate: ≤5% |
| Purity(HPLC) | ≥99%(Excellent grade) |
| Usage | Citicoline for cerebral metabolic activator, for nucleic acid derivatives, is the main coenzyme, phosphate ester synthesis eggs can promote brain cell respiration, improve brain function, strengthen the function of ascending reticular activating system structure, promote the awakening, reduce cerebral vascular resistance, improve cerebral blood circulation, lack and cerebral metabolism, important components of biological membrane is to build the human body.In the clinical mainly used in the treatment of traumatic brain injury and cerebrovascular accident caused by neurological sequelae. Treatment of children with viral encephalitis, improves breathing, to lower blood pressure returned to normal.With citicoline promote the synthesis of lecithin, improve brain function, increase cerebral blood circulation, promote metabolism, brain and snooze and relevant improvement the action such as breathing. |
| Packing size | 25 kg/barrel |
| Storage | Keep dry and away from light and stored in ventilated cool library. |




