网站导航
公司简介
公司文化
行业知识
产品中心
生产实力
联系我们
在线留言
产品搜索
公司地图
English
返回
导航
电话
首页
产品中心 >>> 尿苷系列
排序
产品名称
CAS 号
结构式
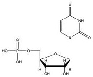
1
5’-尿苷酸 (UMP-H)
58-97-9
2
5'-尿苷酸二钠 (UMP-Na2)
3387-36-8
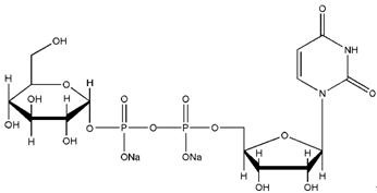
3
尿苷-5'-二磷酸二钠 (UDP-Na2)
27821-45-0
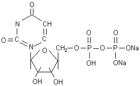
4
尿苷-5'-二磷酸葡萄糖二钠盐 (UDP-G)
28053-08-9
5
尿苷-5'-三磷酸二钠 (UTP-NA2)
285978-18-9
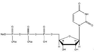
6
三磷酸尿苷三钠(UTP-Na3)
19817-92-6
总共有 6 篇记录 这是第 1 页
<-中文版->
<-English->
杭州唯泰生物药业有限公司
版权所有(C)2019
网络支持
生意宝